Background: Data on the clinical activity of venetoclax (ven) in lymphoplasmacytic lymphoma (LPL) are primarily limited to a phase 2 trial of ven monotherapy for a 2-year duration in 32 patients (pts) with relapsed/refractory IgM LPL who received a median of 2 prior treatments (tx), including 16 pts with prior BTK inhibitors (BTKi) (Castillo et al, JCO 2021). Overall response rate (ORR) was 84% and median progression-free survival (PFS) was 30 months (mos). We report the clinical activity of ven and prognostic factors associated with outcomes in a larger cohort.
Methods: We included pts with LPL treated with ven alone at 9 US centers. The primary outcome was ORR, which included minor response (MR), partial response (PR), very good PR (VGPR), and complete response (CR) per IWWM-7. Secondary outcomes included PFS, overall survival (OS), safety of ven, and predictors of ORR, PFS, and OS.
Results: Sixty-two pts were included. Twenty pts (32%) received ven on a clinical trial. At ven initiation, median age was 65 years (range 38 - 87) , 61% were male, serum monoclonal (M) protein was IgM in 50 pts (91%) (IgG/IgA in 3 (5%), absent in 2 (4%), missing n=7), median hemoglobin (Hb) was 10.4 g/dL (range 5.7-16.4), and median serum IgM was 2580 mg/dL (range 5-9300). Mutations of MYD88 and CXCR4 were present in 52 (95%; missing n = 7) and 19 (38%; missing n = 12) pts, respectively.
Median lines of tx (LOT) before ven was 3 (range 1-11, 58% ≥3) including antiCD20 monoclonal antibody n=54 (87%), BTKi n=48 (77%), proteasome inhibitor n=40 (65%), and bendamustine n=31 (50%). Pts who received ven on a clinical trial were less heavily pretreated (median prior LOT = 1.5, 20% ≥3) compared with pts treated off trial (median prior LOT = 4, 76% ≥3). ORR to prior BTKi was 71% (CR 4%, VGPR 10%, PR 35%, MR 21%) (missing n=5), with a median duration of tx of 14 mos (range 0.5-119). BTKi was stopped due to progressive disease (PD) in 60% and toxicity in 40%. ORR to most recent tx before ven was 58% (CR 3%, VGPR 8%, PR 32%, MR 15%); 21% SD, 7% PD, and 15% missing. BTKi was the most frequently used tx immediately before ven (48%). Six pts (10%) required plasmapheresis up to 30 days before starting ven. Median time from diagnosis to ven initiation was 5.9 years (range 0.3-23). Ven starting dose was 200 mg in 33 pts (55%), 20 mg in 11 (18%), and 100 mg in 10 (17%) (other n=6, missing n=2). Ten pts (17%) were admitted for ven tx initiation. Maximum ven dose was 400 mg in 16 (27%) and 800 mg in 38 pts (63%) (other n=6, missing n=2).
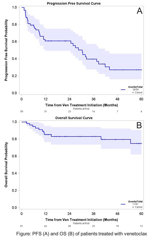
ORR to ven (missing n=3) was 73% (95% confidence interval [CI] 63-86%) (CR 2%, VGPR 21%, PR 44%, MR 7%); 23% were refractory (SD 13%, PD 10%). Median time to best response was 4 mos (range 0.5-30). Median time to peak Hb was 5 mos (range 0.1-24) and to nadir serum M protein level was 8 mos (range 0.5-34). With a median follow-up of 21.9 mos (range 2.3-70.4), the median and 3-year PFS were 30.4 mos (95% CI 11.0-38.6) and 40% (95% CI 25-54%), respectively (Figure). Median and 3-year OS were not reached (NR) (95% CI NR-NR) and 83% (95% CI 70-91%), respectively. Lymphoma was the most common cause of death (n=8/11, 73%).
In univariable analyses (UVA), tx with ven on a clinical trial was associated with higher ORR (90% vs 64%; odds ratio = 8.67, 95% CI 1.04-72.16, p=.046) and superior PFS (median 39 mos (95% CI, 28.4-NR) vs 11 mos (95% CI 6.4-NR), p=.028) without a significant difference in OS. Other factors evaluated in UVA to assess association with ORR, PFS and OS were age at ven start, response to last prior tx, prior tx with BTKi, and CXCR4 mutation status. Of these, receipt of prior tx with BTKi was associated with inferior PFS (HR=2.7, 95% CI 1.1-6.5, p=.024), whereas age >65 years at ven start (HR=8.6, 95% 1.1-67.8, p=0.042) and receipt of ≥3 prior tx (HR=12.0, 95% 1.5-95.9, p=.019) were associated with inferior OS.
Four pts (7%) developed laboratory tumor lysis syndrome (TLS) including 2 (3%) with clinical TLS. TLS occurred at the 400 or 800 mg dose in 3 pts (missing n=1). Ven dose interruptions and/or reductions occurred in 39%. Three pts (5%) had febrile neutropenia. Ven was stopped due to PD in 21 pts (34%), planned tx completion in 15 (24%) (median tx duration = 25 mos, range 24-28), toxicity 6 (10%), and other 4 (6%); 16 pts (26%) remain on ven. Median duration of tx for those who stopped ven was 12 mos (range 1-33).
Conclusion: Ven is an effective tx option for pts with relapsed or refractory LPL. Compared with the phase 2 study, ORR and PFS were lower in this cohort of more heavily pretreated pts.
OffLabel Disclosure:
Sawalha:TG Therapeutics: Research Funding; Celgene/BMS: Research Funding; Beigene: Research Funding. Sarosiek:ADC Therapeutics: Research Funding; Cellectar: Consultancy, Research Funding; Beigene: Honoraria, Research Funding. Winter:Janssen: Consultancy; AstraZeneca: Consultancy; BeiGene: Consultancy; Seattle Genetics: Consultancy; ADC Therapeutics: Consultancy. Riedell:Xencor: Research Funding; Roche: Research Funding; Nkarta: Research Funding; Bristol Myers Squibb: Consultancy, Membership on an entity's Board of Directors or advisory committees, Research Funding; Genmab: Consultancy; ADC Therapeutics: Consultancy, Membership on an entity's Board of Directors or advisory committees; BeiGene: Membership on an entity's Board of Directors or advisory committees; Celgene/ Bristol-Myers Squibb: Consultancy, Honoraria, Membership on an entity's Board of Directors or advisory committees, Research Funding; AbbVie: Consultancy, Membership on an entity's Board of Directors or advisory committees; Fate Therapeutics: Research Funding; Calibr: Research Funding; CVS Caremark: Consultancy; Janssen: Consultancy, Membership on an entity's Board of Directors or advisory committees, Research Funding; Karyopharm Therapeutics: Honoraria, Membership on an entity's Board of Directors or advisory committees; Intellia Therapeutics: Consultancy, Membership on an entity's Board of Directors or advisory committees; Kite/Gilead: Membership on an entity's Board of Directors or advisory committees, Research Funding, Speakers Bureau; Nektar Therapeutics: Consultancy, Membership on an entity's Board of Directors or advisory committees; MorphoSys: Research Funding; Novartis: Consultancy, Membership on an entity's Board of Directors or advisory committees, Research Funding; Sana Biotechnology: Consultancy; Nurix Therapeutics: Membership on an entity's Board of Directors or advisory committees; Tessa Therapeutics: Research Funding; Takeda: Consultancy, Membership on an entity's Board of Directors or advisory committees; CRISPR Therapeutics: Research Funding; Pharmacyclics: Consultancy; Genmab: Membership on an entity's Board of Directors or advisory committees; Janssen: Consultancy. Palomba:Novartis: Honoraria; Cellectar: Honoraria; MustangBio: Honoraria; Rheos: Honoraria; Kite: Honoraria; Thymofox: Honoraria; Juno: Honoraria, Patents & Royalties; Pluto Immunotherapeutics: Honoraria; Ceramedix: Honoraria; Smart Immune: Honoraria; Seres Therapeutics: Honoraria, Patents & Royalties; GarudaTherapeutics: Honoraria; BMS: Honoraria; Synthekine: Honoraria. Grajales-Cruz:Janssen: Membership on an entity's Board of Directors or advisory committees; Cellectar: Membership on an entity's Board of Directors or advisory committees; Sanofi: Membership on an entity's Board of Directors or advisory committees, Speakers Bureau; Amgen: Speakers Bureau. Shain:GSK: Honoraria, Speakers Bureau; Abbvie: Research Funding; BMS: Consultancy, Honoraria, Speakers Bureau; Sanofi Genzyme: Honoraria, Speakers Bureau; Karyopharm: Honoraria, Research Funding; Amgen: Honoraria, Speakers Bureau; Janssen: Consultancy, Honoraria, Research Funding, Speakers Bureau; Adaptive: Consultancy, Speakers Bureau. Thomas:Janssen Pharma: Research Funding; Cellectar Biosciences: Research Funding; Cellectar Biosciences: Consultancy; Ascentage Pharma: Research Funding; X4 pharma: Research Funding; Genentech: Research Funding; Abbvie, Cellectar Biosciences: Consultancy; Bristol Myers Squibb, Janssen Pharma Genentech, X4 pharma, Cellectar Biosciences, Ascentage Pharma: Research Funding. Castillo:Pharmacyclics: Consultancy, Research Funding; Loxo: Consultancy, Research Funding; BeiGene: Consultancy, Research Funding; Cellectar: Consultancy, Research Funding; Kite: Consultancy; Mustang Bio: Consultancy; AstraZeneca: Consultancy, Research Funding; Abbvie: Consultancy, Research Funding.
Venetoclax is not approved in LPL

This feature is available to Subscribers Only
Sign In or Create an Account Close Modal